2 结果与分析
2.1 基础信息描述

调研获得9个居住社区共计440名调查对象的信息数据(表2)。

研究社区位于重庆市南岸区四公里公交枢纽站周边(图1),该区域地理空间与人口组成复杂,居住分异现象突出,其中,商品房社区HLW、JNFT、LZLC、NZY和单位社区XFY为21世纪初建成,占地面积超过 10 000m2;SHY、XLY、SGLB和SGLA属于保障房社区,建设年代为20世纪七八十年代至21世纪初,社区占地面积普遍低于商品房社区和单位社区。
通过绿地空间信息分析可知,研究社区的GVI主要分布在10%~60%,其中HLW、JNFT、LZLC和XFY超过50%,SHY、SGLB和SGLA低于20%。研究社区的NDVI集中于0.20~0.50,其中HLW超过0.50,SGLB低于0.20。不难看出,保障房社区的GVI和NDVI普遍低于商品房社区和单位社区。

研究社区位于重庆市南岸区四公里公交枢纽站周边(图1),该区域地理空间与人口组成复杂,居住分异现象突出,其中,商品房社区HLW、JNFT、LZLC、NZY和单位社区XFY为21世纪初建成,占地面积超过 10 000m2;SHY、XLY、SGLB和SGLA属于保障房社区,建设年代为20世纪七八十年代至21世纪初,社区占地面积普遍低于商品房社区和单位社区。
通过绿地空间信息分析可知,研究社区的GVI主要分布在10%~60%,其中HLW、JNFT、LZLC和XFY超过50%,SHY、SGLB和SGLA低于20%。研究社区的NDVI集中于0.20~0.50,其中HLW超过0.50,SGLB低于0.20。不难看出,保障房社区的GVI和NDVI普遍低于商品房社区和单位社区。
2.2 社区绿地空间感知与活动评价分析




通过空间感知变量和感知因子评价分析发现(表3、4),保障房社区的空间感知评价均值和活动评价均值高于商品房社区和单位社区,其中XLY的感知因子评价、感知变量评价、活动时间和活动频率均高于其他社区,而HLW的感知因子评价、感知变量评价、活动时间和活动频率普遍低于其他社区。
2.3 绿色暴露指数与感知因子相关性分析


绿色暴露指数与感知因子相关性分析(表5)表明,社区绿地空间感知因子与GVI和NDVI均存在显著的负相关(P<0.01),说明GVI和NDVI越高,感知因子评价越低。感知因子与GVI的相关性高于其与NDVI的相关性,表明感知因子对GVI更加敏感。感知因子Q和感知因子U与绿色暴露指数的相关性明显高于感知因子A与绿色暴露指数,表明感知因子类别对绿色暴露指数GVI和NDVI的敏感程度存在差异。

感知因子与PF之间呈显著正相关(P<0.01),其中感知因子U与PF和PT的相关性均最高,但感知因子与PT相关性较弱。此外,研究社区GVI和NDVI线性回归分析(图2)表明,GVI与NDVI有显著的线性关系和较为紧密的依存关系。

感知因子与PF之间呈显著正相关(P<0.01),其中感知因子U与PF和PT的相关性均最高,但感知因子与PT相关性较弱。此外,研究社区GVI和NDVI线性回归分析(图2)表明,GVI与NDVI有显著的线性关系和较为紧密的依存关系。
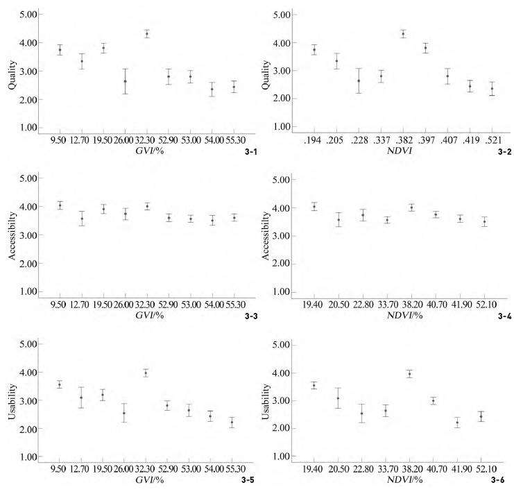
2.4 绿色暴露指数与空间感知和活动行为关联性分析




绿色暴露指数与感知因子和活动评价在95%置信区间(CI)的关联分析(图3、4)表明,绿色暴露指数越高的社区,其感知因子评价越低,绿色暴露指数与感知因子和活动评价之间存在着“倒U形”关系,感知因子评价和活动评价最高值分别出现在32.30%GVI和0.382NDVI。
根据绿色暴露指数四分位数划定社区绿化水平后进行感知因子与活动评价比较(表6)也能论证以上结果,即中等水平GVI(52.9%>GVI≥19.5%)和中等水平NDVI(0.397>NDVI≥0.337)的空间感知显著高于其他社区(P≤0.01);中等水平GVI(52.9%> GVI ≥19.5%)和中高水平NDVI(0.419>NDVI≥0.397)的活动评价最高(P≤0.05)。

