基于多功能视角和多采样单元的城郊森林公园景观健康评价案例研究
摘要:以西樵山国家森林公园为研究对象,基于多功能视角和多采样单元,进行了城郊森林公园景观健康评价的案例研究。通过QuickBird卫星影像和景观分类方法,构建了包括生态保护、娱乐和双重功能在内的景观健康评估指标体系;采用熵权法确定了各指标的权重,并结合空间分析方法进行景观健康评估。结果显示,公园内生态保护和娱乐功能的健康等级呈现不同的分布特征,而综合景观健康呈现初期增加、后逐渐减少的趋势。通过分析不同采样单元大小对景观健康的影响,确认54m×54m基本采样单元足以反映公园景观健康状况。此研究提供了一种全面的评价城郊森林公园景观健康的方法,为城市规划和管理提供参考。
城郊森林公园作为城市生态系统的重要组成部分,既承担生态保护功能,又是市民休闲娱乐的重要场所。然而,传统的景观评价方法往往基于土地利用类型,未能充分考虑森林公园的多功能性。本研究基于多功能视角,通过引入生态保护、娱乐和双重功能,构建了全面的景观健康评价指标体系。同时,考虑到不同采样单元大小可能对评价结果产生影响,采用多种采样单元进行对比分析,旨在为城郊森林公园的综合管理提供科学依据,推动城市绿地规划的多功能化发展。
1材料和方法
1.1研究区域
西樵山国家森林公园位于中国广东省佛山市南海区西南部,地理坐标为112°56′~113°0′E、22°55′~22°57′N,总面积约为1304.84km2,是“国家风景名胜区”“国家地质公园”和“国家AAAAA级旅游景区”。属南亚热带季风气候区,冬季温和,夏季凉爽,四季温和,降雨充沛。年均温度为21.8℃,年均降水量为1638.5mm。该公园植被丰富,主要由亚热带常绿阔叶林组成,拥有800多种植物物种和超过95%的森林覆盖率。公园内主要是人工造林,平均林龄为15年,平均树高9.2m,平均树径13.9cm。该公园拥有令人惊叹的自然景观、深厚的文化底蕴和浓厚的乡村风情,是附近城市居民旅游、度假和休闲娱乐的热门地[1]。
1.2数据来源
本研究使用QuickBird卫星(分辨率:0.6m)获取的QuickBird图像作为基础数据源。图像来源于GoogleEarth,拍摄日期为2021年10月13日。图像采用WGS1984WebMercator投影,这是一种常用的基于Web的地图程序。根据野外调查获取的GPS控制点,使用ArcGIS10.6软件对QuickBird图像进行了高精度几何校正,以确保任何误差都小于0.5像素。可见光波段用于图像分析,图像分类基于视觉解译。为确保分类图的准确性,屏幕分辨率保持在1︰1000的比例内。分别于2022年4月和5月进行了野外调查和土地分类验证,共收集了1055个GPS验证点,每个土地类别约有100个验证点。图像解译的总体分类精度和kappa系数分别为95.25%和0.95,满足研究要求[2]。
1.3景观分类
根据“全国第三次土地调查技术规程”(TD/T1055-2019)中的标准,结合研究区域内各种景观的功能特征,将其划分为5种主要景观类型:农田、草地、水体、森林和建设用地。鉴于农田、草地和水体有限,而森林和建设用地占主导地位,进一步细分景观,识别出12种次生景观类型[3]。
1.4景观功能分类


景观分类是景观结构分析的基础,而景观结构的空间变化是功能异质性的具体体现。目前,郊区森林公园主要基于土地利用类型进行分类;然而,这种分类不能充分反映其多功能性。因此,本研究从多功能的角度拓展了对公园片区和走廊景观的分类体系,并引入了集生态保护和娱乐功能于一体的双重功能,除了现有的生态保护和娱乐功能。因此,制定了一个三层次的景观功能分类系统(表1)。
1.5景观健康评估的指标体系和方法


在先前关于景观健康评估指标的研究基础上,结合西樵山国家森林公园的景观特征,构建了反映生态保护、娱乐和双重功能的各种指标和参数。3种功能的景观健康指标均包括7个基于斑块的指标和7个基于走廊的指标。部分双重功能指标(Z4和Z8)通过整合生态保护和娱乐功能的指标而得出(表2)。
基于研究区域所有斑块和走廊的中位面积(1273m2),选择边长为36m的正方形网格作为基本采样单元。此外,还选择边长为18m(基本边长的0.5倍)和54m(基本边长的1.5倍)的正方形网格作为基本采样单元。研究区域被连续地划分为这3种基本采样单元。排除了面积小于采样单元一半的网格单元,结果得到了18m、36m和54m尺寸的分别为40280、10071和4484个采样单元。利用Ar-cGIS空间分析模块,根据每个采样单元内的生态保护、娱乐和双重功能,计算了斑块和走廊的指标值。为了计算Z4和Z8指标,分别应用了生态保护和娱乐利用公式。标准化后,每个值减半,并将任何反向指标转换为正值。然后将这些转换后的值加到正指标中,得出双重功能的指标[4]。
1.6全面评估景观健康的方法
1.6.1指标权重的确定。熵权法具有计算过程简单、精度高和客观性强的优点[35-36]。该方法基于每个指标的变化程度,利用信息熵计算每个指标的熵权,并随后调整每个指标的权重,以获得客观的指标权重。为了减少评估过程中的主观性,避免人为因素对权重的干扰,本研究选择了熵权法来确定指标权重[5]。
1.6.2景观健康评估。每个采样单元内生态保护、娱乐和双重功能景观的评估值是通过将每个评估指标的标准化值(表2)与其相应的权重系数相乘,然后对这些值进行求和得到的。综合景观健康通过对生态保护、娱乐和双重功能景观的评估值进行求和获得:Zi=Ei+Ri+Ci其中Zi表示采样单元i的综合景观健康;Ei表示采样单元i的生态保护功能评估值;Ri表示采样单元i的娱乐功能评估值;Ci表示采样单元i的双重功能评估值。
由于双重功能融合了生态保护和娱乐功能,因此每个采样单元的生态保护功能景观健康是通过将生态保护功能评估值与双重功能评估值的一半相加得到的(即Ei+0.5Ci)。同样,娱乐功能景观健康是通过将娱乐功能评估值与双重功能评估值的一半相加得到的(即Ri+0.5Ci)。基于计算结果,对每个采样单元的生态保护、娱乐和综合景观健康进行归一化,并分为5个等级:非常差(0~0.2)、差(0.2~0.4)、一般(0.4~0.6)、好(0.6~0.8)和非常好(0.8~1)。最后,利用ArcGIS和Kriging空间插值方法,对每个采样单元的景观健康评估结果进行了空间可视化,得到了多个采样单元和功能的景观健康空间分布图[6]。
1.7方法框架
本研究对西樵山国家森林公园的QuickBird卫星影像进行了几何校正和目视解译。基于景观和景观功能的分类,构建了反映生态保护、娱乐和双重功能的各种指标和参数。然后应用熵权法确定了指标权重,以及生态保护、娱乐和双重功能景观评估值,最终用于生成生态保护、娱乐和综合景观健康。
2结果与分析
2.1景观健康的空间分布特征
在不同的采样单元内,生态保护景观健康等级“非常好”和“好”的分别占总面积的1.14%、1.55%和1.77%,主要集中在公园的北部(天珍峰、碧玉洞)、中南部(大科峰、狮岩洞)和西南部(玉琳峰、植物园)地区。“非常差”和“差”等级的面积分别占总面积的98.86%、98.43%和98.14%。
在不同的采样单元中,娱乐功能景观健康等级“非常好”和“好”的面积分别占总面积的6.16%、8.08%和17.20%,主要分布在中部(天湖、报峰寺)、中南部(九龙洞、大科峰)以及围绕公园的外围地区(白云洞、植物园、影视城、环山湖、居民区)。而“非常差”和“差”等级的面积分别占总面积的86.39%、76.99%和69.46%。
在不同的采样单元中,综合景观健康等级“非常好”和“好”的面积分别占总面积的1.08%、1.49%和1.07%,在18m×18m和54m×54m的采样单元内,主要集中在公园的北部(碧玉洞)和中南部地区(大科峰、狮岩洞);在36m×36m的采样单元中,分布在前述地区以及公园的中部(天湖、九龙洞、报峰寺)、东部(玄峰)和外围地区(玉琳峰、植物园、影视城、居民区)。而“非常差”和“差”等级的面积分别占总面积的88.62%、88.65%和88.83%。
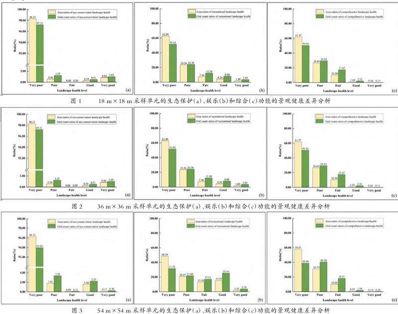
2.2景观健康差异分析


图1a、图2a、图3a显示了生态保护景观健康“非常好”和“好”等级的总面积和网格数量比例呈轻微增长趋势。相反,“非常差”和“差”等级的总面积和网格数量比例呈轻微下降趋势。
在娱乐景观健康方面,图1b和图2b显示,“非常好”和“好”等级的总面积和网格数量比例呈轻微增长趋势。相较而言,“非常差”和“差”等级的总网格数量比例降低略低于其总面积比例(分别为0.82和0.89)。图2b和图3b表明,娱乐功能景观健康等级“非常好”和“好”的总格网数量比例增加略低于其总面积比例(为1.91),而“非常差”和“差”等级的总格网数量比例降低略低于其总面积比例(分别为0.86和0.90)。
图1c、图2c、图3c表明,综合景观健康方面,各等级“非常好”和“好”的总面积比例和总网格数量比例呈现初期增加、后逐渐减小的趋势,但变化不显著。而“非常差”和“差”等级的总面积比例呈轻微增加,总网格数量比例则呈现初期减小、后逐渐增加的趋势,但变化不显著[7]。
由此可推断,不同采样单元大小对生态保护、娱乐和综合景观健康的影响不显著。因此,使用最大的基本采样单元54m×54m来划分公园足以分析其景观健康状况。
2.3森林内部景观因素与景观健康的关系
随着生态保护功能的景观健康等级提高,森林与非森林面积比例在18m×18m和36m×36m基本采样单元中呈波动下降趋势,前者表现为初期下降后上升再下降,而后者呈波动上升趋势。而在54m×54m基本采样单元中,呈“N”形波动上升趋势。18、36和54m基本采样单元的森林与非森林数量比例分别呈“V”形、“W”形和“N”形波动上升趋势。随着基本采样单元面积比例的增加,分别为2.76、3.55和24.23,以及数量比例的增加,分别为2.99、2.69和3.00,生态保护功能的最高健康等级得以实现[8]。
随着娱乐功能的景观健康等级提高,不同基本采样单元中的森林与非森林面积比例和数量比例均呈“W”形波动下降趋势。随着基本采样单元面积的增加,分别为0.58、0.99和0.83,以及数量比例的增加,分别为0.50、0.78和0.68,娱乐功能的景观健康等级达到了最高水平[9]。
随着综合景观的景观健康等级提高,在18m×18m基本采样单元中,森林与非森林面积比例呈“V”形波动下降趋势,而数量比例表现出波动下降趋势,初期下降后上升再下降。在36m×36m基本采样单元中,森林与非森林面积比例和数量比例均呈“W”形波动下降趋势。在54m×54m基本采样单元中,森林与非森林面积比例和数量比例呈“V”形波动下降趋势。随着基本采样单元面积的增加,分别为7.83、2.23和4.41,以及数量比例的增加,分别为2.70、1.24和0.91,综合景观的最高健康等级得以实现[10]。
3结语
本研究以西樵山国家森林公园为例,通过多功能视角和多采样单元的方法,全面评价了城郊森林公园的景观健康状况。研究结果不仅为公园的生态保护和娱乐功能提供了详细的评估,也为公园的综合景观健康提供了全新的认识。
通过引入熵权法,本研究还对各功能指标进行了客观的权重分配,为综合评价提供了科学依据。通过分析不同采样单元大小的影响,确认了54m×54m基本采样单元的适用性,为未来类似研究提供了方法启示。这样全面的城郊森林公园景观健康评价方法,有望为城市规划和管理提供科学依据,促进城市绿地的可持续发展。